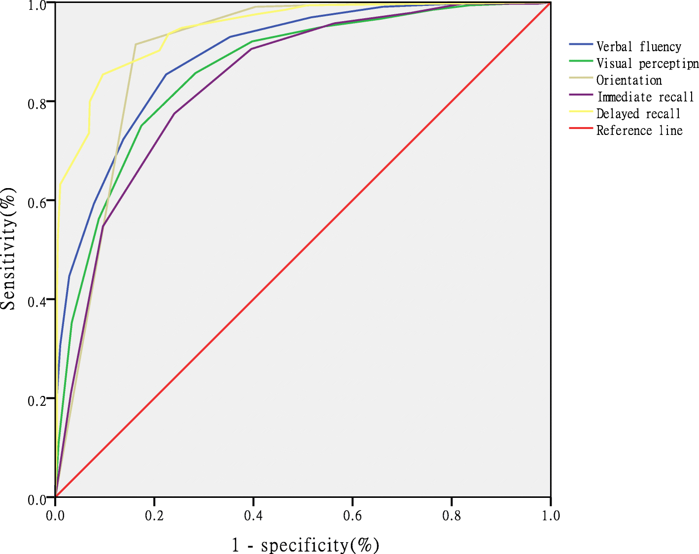
Fig. 2From: The items in the Chinese version of the Montreal cognitive assessment basic discriminate among different severities of Alzheimer’s diseaseReceiver operating characteristic curve analysis of the five items for distinguishing AD from NCBack to article page